株式会社ひむか農園のプレスリリース
ひむか農園の公式Webサイト:https://himukahebesu.com/
成分分析ブランディング 公式Webサイト:https://rebranding.science

果汁、香り、超芳醇。入手困難な伝統柑橘「へべす」
へべすは、江戸時代から宮崎で伝わる日本原産の伝統柑橘。すだちおよびレモンよりも玉が大きく、カボスより香り豊かで、ユズより皮が薄いのでたっぷり果汁がとれる。まさにそれぞれのいいとこどり。その味わいは、柑橘特有の酸味だけはなく、甘味・旨味・コクがあり、まるで出汁のように奥深い唯一無二のジューシーさが特長。そんな在来種の日本柑橘「へべす」に愛情を注ぎ込んでさらにおいしくなったのが「ひむか農園のへべす」。サスティナブルな農法で地域の里山保全をしながらも、果汁を増やし、香りを高め、えぐみをなくす手間をかけて栽培しました。その結果、ミシュランガイド星付きレストランでもご愛用いただいています。

成分分析の実施
この「ひむか農園のへべす」を成分分析へ。今回は「甘味」、「酸味」、「旨味」、「えぐみ」および「香り高さ」にフォーカスして分析・測定します。比較したのは、代表的な柑橘・香橘類であるかぼす、すだち、レモン、ライム、ゆずの5種類です。
食味成分の総合評価について
「ひむか農園のへべす」は、かぼす、すだち、レモン、ライムおよびゆずと比較して、甘味、コク、旨味、香り高さにおいて他の柑橘・香橘類よりも強く、えぐみが少ないことが明らかとなりました(図1)。
つまり、「ひむか農園のへべす」は、甘味、コク、旨味などにより味わい深く、えぐみによる雑味が少ない香橘であるといえます。さらに、香り高さは他の柑橘・香橘類に対して著しく高く、香りを付与するための料理・調理方法において、非常に有用であることが明らかとなりました。

図1. ひむか農園のへべす、かぼす、すだち、レモン、ライムおよびゆずの食味成分
香気成分の香り種別の割合について
「ひむか農園のへべす」の果皮の香気成分は、かぼす、すだち、レモン、ライムおよびゆずの果皮と比較して、樹木・グリーン香、スパイシー香、柑橘香、ハーブ香が多く含有されており、柑橘香のみならず、その他の香りを感じられることから、複雑で奥深い香りを有することが明らかとなりました(図2)。
特にスパイシー香、ハーブ香が多いことから、スパイスやハーブのような使用方法もできる可能性を秘めており、へべすの使用・調理方法が広がる可能性を示唆する結果となりました。

図2. ひむか農園のへべす、かぼす、すだち、レモン、ライムおよびゆずの香気成分の割合
※果皮の香気成分の分析値を係数化したデータ
甘味成分について(糖度)
「ひむか農園のへべす」の糖度はかぼす、すだち、レモン、ライムおよびゆずよりも1.19倍、1.08倍、1.16倍、1.27倍および1.17倍高い
糖度*1について、「ひむか農園のへべす」は8.97%であり、かぼすの7.53%、すだちの8.33%、レモンの7.73%、ライムの7.03%およびゆずの7.63%と比較して、1.19倍、1.08倍、1.16倍、1.27倍および1.17倍でした(図3)。したがって、「ひむか農園のへべす」の糖度は、かぼす、すだち、レモン、ライムおよびゆずよりも高く、香橘・柑橘類の中でも甘味が強いことが明らかになりました。
*1 糖度は手持屈折法にて分析
*2 分析数値については小数点第3位を四捨五入し記載。倍率については、四捨五入しない数値を元に算出

図3. へべすおよび他5種の香橘類における糖度
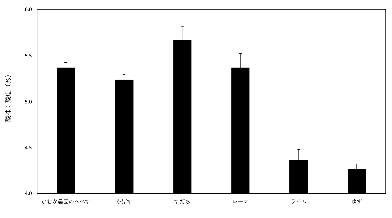
酸味成分について(総酸度)
「ひむか農園のへべす」の総酸度はかぼす、すだち、レモン、ライムおよびゆずと比較して1.03倍、0.95倍、1.00倍、1.23倍および1.26倍
総酸度*3について、「ひむか農園のへべす」は5.37%であり、かぼすの5.23%、すだちの5.67%、レモンの5.37%、ライムの4.37%およびゆずの4.27%と比較して、1.03倍、0.95倍、1.00倍、1.23倍および1.26倍でした(図4)。したがって、「ひむか農園のへべす」の酸味は、かぼす、すだち、レモンと同等で、ライムおよびゆずよりも強いことが明らかになりました。
*3 総酸度は滴定酸度にて測定

図4. ひむか農園のへべす、かぼす、すだち、レモン、ライムおよびゆずの総酸度
コク成分について(総有機酸)
「ひむか農園のへべす」の総有機酸はかぼす、すだち、レモン、ライムおよびゆずよりも1.49倍、1.84倍、1.08倍、1.13倍および1.49倍多い
総有機酸量*4について、「ひむか農園のへべす」は9.47g/100gであり、かぼすの6.33g/100g、すだちの5.13g/100g、レモンの8.73g/100g、ライムの8.37g/100gおよびゆずの6.33g/100gと比較して、1.49倍、1.84倍、1.08倍、1.13倍および1.49倍でした(図5)。このことから、「ひむか農園のへべす」は、コクが強いことが明らかとなりました。
*4 総有機酸の分析方法はHPLC法にて分析

図5. ひむか農園のへべす、かぼす、すだち、レモン、ライムおよびゆずの総有機酸量
旨味成分について(グルタミン酸)
「ひむか農園のへべす」のグルタミン酸量はかぼす、すだち、レモン、ライムおよびゆずよりも2.42倍、1.42倍、2.54倍、3.40倍および2.37倍多い
旨味成分の代表的な成分であるグルタミン酸。グルタミン酸量*5について、「ひむか農園のへべす」は51.36mg/100gであり、かぼすの21.18mg/100g、すだちの36.22mg/100g、レモンの20.26mg/100g、ライムの15.11mg/100gおよびゆずの21.68 mg/100gと比較して、2.42倍、1.42倍、2.54倍、3.40倍および2.37倍でした(図6)。つまり、「ひむか農園のへべす」は、グルタミン酸を多く含むことから、旨味が強いことが明らかとなりました。
*5 グルタミン酸の分析方法はHPLC法にて分析

図6. むか農園のへべす、かぼす、すだち、レモン、ライムおよびゆずのグルタミン酸量
えぐみ(硝酸態窒素)について
「ひむか農園のへべす」の硝酸態窒素量はかぼす、すだち、レモン、ライムおよびゆずよりも0.47倍、0.38倍、0.87倍、0.43倍および0.42倍と少ない
えぐみの主要成分の一つである硝酸態窒素量*6について、「ひむか農園のへべす」は133.33mg/Lであり、かぼすの286.67mg/L、すだちの350.00mg/L、レモンの153.33 mg/L、ライムの310.00 mg/Lおよびゆずの320.00mg/Lと比較して、0.47倍、0.38倍、0.87倍、0.43倍および0.42倍でした(図7)。したがって、「ひむか農園のへべす」は、えぐみが少ないことが明らかとなりました。
*6 硝酸態窒素の分析方法はイオン電極法にて分析

図7. ひむか農園のへべす、かぼす、すだち、レモン、ライムおよびゆずの硝酸態窒素量
香気成分について
「ひむか農園のへべす」の香気成分総量はかぼす、すだち、レモン、ライムおよびゆずよりも4.40倍、4.80倍、4.01倍、4.40倍および4.22倍多い
香気成分*7の総量*8について、「ひむか農園のへべす」は1934.44mg/100gであり、かぼすの439.70mg/100g、すだちの403.12mg/100g、レモンの481.98mg/100g、ライムの440.12mg/100gおよびゆずの457.86 mg/100gと比較して、4.40倍、4.80倍、4.01倍、4.40倍および4.22倍でした(図8)。したがって、「ひむか農園のへべす」は、非常に香り高い柑橘・香橘類であることが明らかとなりました。
*7 香気成分の分析方法はGC-MS法にて果汁および果皮について分析し、合計量を香気成分総量として算出
*8 香気成分の総量はα-ピネン、β-ピネン、ミルセン、α-フェランドレン、d-リモネン、β-フェランドレン、γ-テルピネン、p-シメン、β-ファルネセン、α-ファルネセンの10種類の成分の合計値として算出

図8. ひむか農園のへべす、かぼす、すだち、レモン、ライムおよびゆずの香気成分総量
分析期間について
分析期間:2023年9月1日〜2023年10月15日
分析手法について
<測定・定量手法>
測定・定量については、香気成分以外は各柑橘の果汁を使用し、香気成分のみ果汁および果皮を使用して分析・調査を実施

まとめ
①「ひむか農園のへべす」の糖度は、かぼす、すだち、レモン、ライムおよびゆずよりも1.19倍、1.08倍、1.16倍、1.27倍および1.17倍高い
②「ひむか農園のへべす」の総酸度は、かぼす、すだち、レモン、ライムおよびゆずと比較して1.03倍、0.95倍、1.00倍、1.23倍および1.26倍と同等もしくは高い
③「ひむか農園のへべす」の総有機酸量は、かぼす、すだち、レモン、ライムおよびゆずよりも1.49倍、1.84倍、1.08倍、1.13倍および1.49倍多い
④「ひむか農園のへべす」のグルタミン酸量は、かぼす、すだち、レモン、ライムおよびゆずよりも2.42倍、1.42倍、2.54倍、3.40倍および2.37倍多い
⑤「ひむか農園のへべす」の硝酸態窒素量は、かぼす、すだち、レモン、ライムおよびゆずよりも0.47倍、0.38倍、0.87倍、0.43倍および0.42倍と少ない
⑥「ひむか農園のへべす」の香気成分総量は、かぼす、すだち、レモン、ライムおよびゆずよりもそれぞれ4.40倍、4.80倍、4.01倍、4.40倍および4.22倍多い
したがって、「ひむか農園のへべす」は、調理用途が近似している柑橘・香橘類である、かぼす、すだち、レモン、ライムおよびゆずと比較して、甘味、コク、旨味、香りを強く味わうことができることが明らかとなりました。
まだまだ全国的な認知度が低い「へべす」ですが、今回の分析により、「へべす」のおいしさや香り高さ、ジューシーさが明らかとなり、一般流通する柑橘・香橘類に引けを取らない食材であることが証明されました。
ひむか農園では、今後、「へべす」の様々な調理方法を確立しながら、外食や大手小売、流通市場を通じて、全国・世界にへべすを届けていきます。
ビールとも相性が抜群!知られざるへべすの可能性

旨味、コク、香りが強いことが特徴の「へべす」。そんなへべすならではの楽しみ方として、実は“ビールに絞る”とおいしいことが挙げられます。愛用者からは「へべすを絞ることで、ビールの味に奥行きが出て、爽やかな香りで飲むのが止まらない」という声が挙がるほど。衝撃的な爽やかさと奥深さに、はまってしまう方が続出しています。これは、他の柑橘にはない旨味やコク、香りがあるからこその組み合わせです。
その他のへべすレシピはこちら: https://himukahebesu.com/category/recipe/
炭火焼鳥塚田農場でも採用されたひむか農園の「へべす」

ひむか農園が栽培する宮崎伝統の柑橘「へべす」を、株式会社エー・ピーホールディングスが運営する炭火焼鳥塚田農場にてご採用いただきました。今後のへべすが主役の様々なメニューにご期待ください。
過去のプレスリリースはこちら: https://prtimes.jp/main/html/rd/p/000000002.000122482.html
成分分析ブランディングとは
食品の品質を科学的に数字で証明します。自社と他社の食品の品質を数字で比較することで、品質の差を見える化し、差別化します。キャッチコピーは、“相場より高く売ろう”。「こだわりのある農畜水産の生産者が相場より高く売ること」を応援するために生まれました。
- 公式サイト:https://rebranding.science
■ひむか農園について

里山保全を目的にしたサスティナブルな農法でへべすづくりに取り組んでいます。地域の環境汚染の原因となる「林産廃棄物」と「畜産廃棄物」。これらをひむか農園の関連会社である有限会社エコロがアップサイクル。高品質な農業用の土を作り上げた上で、へべすの栽培に活用しています。手間暇をかけた土づくりや種が入りにくい農法などにより、ジューシーで香り高いひむか農園のへべす。ミシュラン星つきレストランからも愛用されています。
農園名:ひむか農園
会社名:株式会社内山建設
住所:宮崎県日向市大字富高93-1
電話番号:0982-52-5052
代表取締役:内山タエ子

